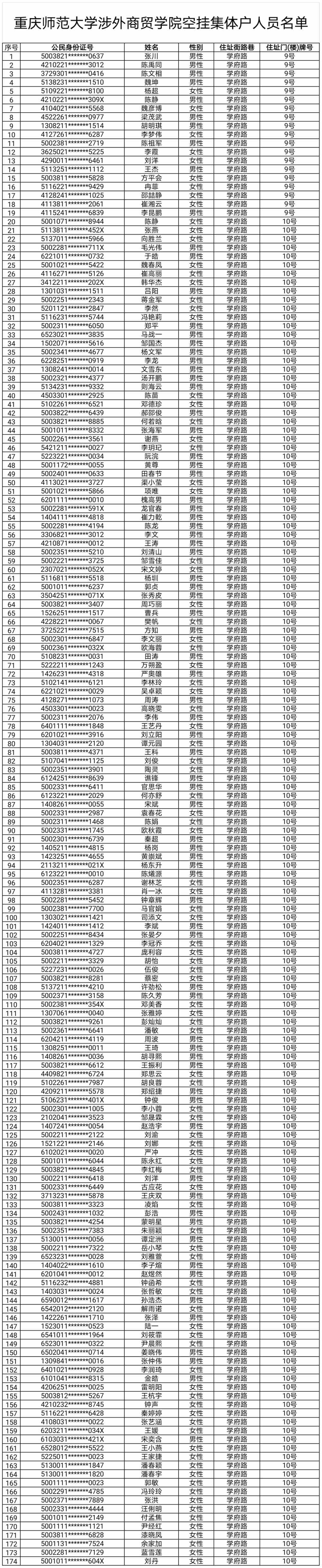
重庆师范大学涉外商贸学院关于空挂集体户清理的通知

重庆师范大学涉外商贸学院
2020-8-03 00:53:36 文/潘娜 图/马子涵
通知
根据重庆市市公安局相关规定,合川区公安局合阳派出所要求我校保卫处即日起开展毕业生空挂集体户口专项清理整顿工作。
由于我校每年毕业生均有部分学生向学校提交申请,将本人集体户口暂存于学校。但是,很多毕业生离校后并没有将户口迁出,一直空挂在学校的集体户口中。根据上级文件精神,“超过两年仍未落实工作单位的高校毕业生,学校将本人在校户口迁回其入学前户籍所在地”。具体措施为:重庆市内毕业生的函告原籍地,重庆市外的将打印迁移证,迁移地址为入学前生源地人才集体户。
请已空挂集体户口的毕业生,及时与重庆师范大学涉外商贸学院保卫处联系,由本人或委托他人及时办理迁出手续,该生本人或委托他人办理户籍迁移手续的时间结点为2020年8月10日。逾期未办理手续的,我校户籍办公室将配合属地派出所开展清理工作,同时不再为此类学生办理任何户籍相关业务。
保卫处户籍室咨询电话:023-64289913。

作者:马宁
来源:保卫处
排版:刘鑫 另妹
审核:李锐 曾斯琪
总编辑:梁修昌

.jpg)
.jpg)
.jpg)
.jpg)
.jpg)
.jpg)
.jpg)
.jpg)

.jpg)
.jpg)
.jpg)
.jpg)
.jpg)
.jpg)
.jpg)
.jpg)
.jpg)
.jpg)
.jpg)
.jpg)
.jpg)

.jpg)
.jpg)
.jpg)
.jpg)
.jpg)
.jpg)
.jpg)
.jpg)
.jpg)
.jpg)


.jpg)
.jpg)
.jpg)
.jpg)
.jpg)
.jpg)

.jpg)
.jpg)
.jpg)
.jpg)
.jpg)
.jpg)
.jpg)
.jpg)
.jpg)
.jpg)

.jpg)

.jpg)



.jpg)